1¡¢´ß»¯ºÏ³ÉÊÖÒÕ
¹«Ë¾»ùÓÚ¶Ô¹ó½ðÊô´ß»¯¼ÁµÄÉî¿ÌÃ÷È·£¬ÔÚÑо¿´ß»¯¼ÁµÄͬʱ£¬¿ª·¢²¢ÐγÉÁ˽ÏÁ¿ÍêÕûµÄ´ß»¯»¹Ô¡¢´ß»¯Çâ½â¡¢´ß»¯Å¼Áª¡¢Çâ¼×õ£»¯µÈһϵÁд߻¯ºÏ³ÉÊÖÒÕ£¬¾ßÓÐÂÌÉ«»·±£¡¢Çå¾²¸ßЧ¡¢µÍ±¾Ç®¡¢ÒײÙ×÷µÄÌØµã£¬Ö÷Òª°üÀ¨ßÁ़ÓÇâϵÁС¢°±»ù±½·ÓϵÁС¢Çâ¼×õ£»¯ÏµÁС¢Ñ¡ÔñÐÔÍÑÂÈϵÁС¢Ïõ»ù¼ÓÇâϵÁеȼ¸Ê®ÖÖÒ½Ò©¡¢Å©Ò©ÖÐÐÄÌåµÄ´ß»¯ºÏ³ÉÊÖÒÕ¡£Îª¿Í»§ÌṩµÄ·þÎñÓУº
1. ¿ª·¢»¯ºÏÎïµÍ±¾Ç®£¬¸ßЧÂʵĴ߻¯ºÏ³Éй¤ÒÕõè¾¶£»
2. ´ß»¯Ç⻯ȡ´ú¹Å°å¸ßÎÛȾµÄÁò»¯Îп·Û£¬Ìú·Û»¹Ô£»
3. ÐÖú¿Í»§¾ÙÐй¤ÒպͲúÆ·¿ª·¢£¬¿ìËÙʵÏִӿ˼¶µ½¶Ö¼¶µÄÉú²ú¹¤ÒÕ·Å´ó£»

2¡¢´ß»¯ºÏ³É¹¤ÒÕÊÖÒÕ
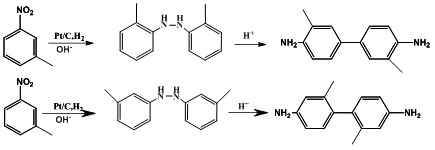
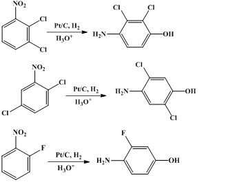
£¨1£©Ïõ»ù»¹Ô¹¤ÒÕÑо¿¼°Ó¦ÓÃ
ʹÓùó½ðÊô´ß»¯Ç⻯ȡ´úп·Û¡¢Ìú·Û»¹ÔµÈ£¬½â¾öÎÛȾ´óµÄ»·±£ÎÊÌ⣬²¢ÇÒÄܽµµÍÉú²ú±¾Ç®¡£

Áª±½°·µÄºÏ³É

ȾÁÏÖÐÐÄÌåµÄºÏ³É

¶Ô°±»ù±½·ÓµÄºÏ³É

UVϵÁÐÇ⻯»¹Ô

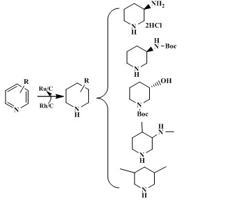
£¨2£©ßÁऻ·Ç⻯ÊÖÒÕ¼°²úÆ·
½ÓÄɱ¾Ç®½ÏµÍµÄRu/C£¬PtO2È¡´úÌÚ¹óµÄRh/C

£¨3£©Å¼Áª·´Ó¦£¨C-C,C-N,C-B)
½ÓÄɾùÏà»òÕß¶àÏà´ß»¯¼Á´ß»¯Ullmann£¬Suzuki£¬heck£¬Buchwald¨CHartwig ·´Ó¦£¬ÄܸßЧ½ÓÄɹó½ðÊô£¬ÓÐÓýµµÍÉú²ú±¾Ç®¡£

£¨4£©ÊÖÐÔ´ß»¯»¹Ô
ʹÓÃÐÂÓ±µÄÊÖÐÔPNN£¬PPNµÈÈý³ÝÅäÌ壬ʵÏÖC=C,C=O,C=N·´Ó¦µÄ¸ßת»¯ÂÊ£¬ÄÜÊÖÐÔÑ¡Ôñ¡£

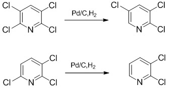
£¨5£©¶àÂÈßÁà¤Ñ¡ÔñÐÔÍÑÂÈ

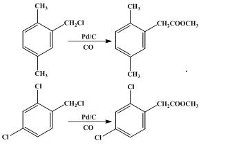
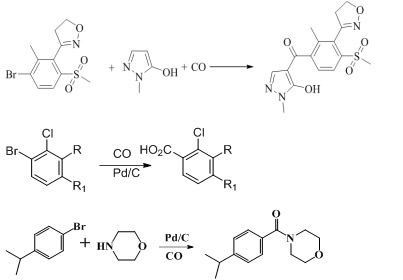
£¨6£©Pd/C´ß»¯ôÊ»ù»¯·´Ó¦µÄÑо¿ºÍÓ¦ÓÃ
Pd/C´ß»¯ôÊ»ù»¯·¨£ºÖƱ¸³ö¸ßÐÔÄÜ¿ÉÉÌÓû¯µÄPd/C£¬È¡´ú¹Å°åµÄ¾ùÏà´ß»¯¼Á£¬¾ßÓÐÒÔÏÂÓÅÊÆ£º
1.È¡´ú¾ç¶¾Àà¡¢¸ßÎÛȾµÄNaCN¹¤ÒÕ£»

2. ½â¾ö¾ùÏàPdÀà´ß»¯¼Á½ÓÄÉÂʵ͡¢Éú²ú±¾Ç®¸ßµÄÎÊÌâ¡£

Pd/C´ß»¯ÂÈÜÐÀàµ×ÎïôÊ»ù»¯
ũҩÖÐÐÄÌå

Ò½Ò©ÖÐÐÄÌå

Pd/C´ß»¯äå±½Ààµ×ÎïôÊ»ù»¯
ʹÓÃPd/CÌæ»»PdCl2(PPh3)2 , Ó¦ÓÃÓÚũҩµÄÉú²ú¹¤ÒÕˢУ¬Äܼ«´ó½µµÍ±¾Ç®¡£

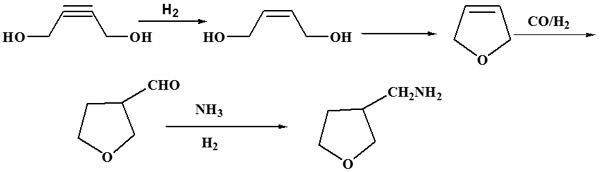
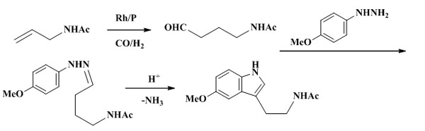
£¨7£©Çâ¼×õ£»¯·´Ó¦µÄÑо¿ºÍÓ¦ÓÃ
Ï©ÌþÇâ¼×õ£»¯ÖƱ¸È©£¬Ê¹ÓÃÏȽøµÄË«ÑÇÁ×Ëáõ¥ºÍÑÇÁ×Ëáõ¥¾ÛºÏÎïÅäÌ壬¸ßЧת»¯ÎªËᣬ´¼£¬°·À໯ºÏÎºÏ³ÉÖ÷ÒªµÄÏãÁÏ£¬Ò½Ò©ÖÐÐÄÌ壬ÔöËܼÁµÈ¡£

¶Ö¼¶²úÆ·Éú²úºÍ½ðÊô½ÓÄÉÄÜÁ¦£º
RhCl(PPh3)3,RhH(CO)(PPh3)3,Rh(acac)(CO)2,[Rh(COD)2]BF4, RhI3µÈ¡£


ͨ¹ýµ÷Àíì¢ÅäÌåµÄ½á¹¹ºÍ·´Ó¦Ìõ¼þ£¬µ÷Àí·´Ó¦µÄÑ¡ÔñÐÔ£¬ÌìÉú²î±ð½á¹¹ËùÐèµÄ²úÆ·¡£

ת»»ÂÊ´óÓÚ96%£¬Õý¹¹È©£ºÒ칹ȩ=30:1£»

ת»»ÂÊ´óÓÚ98%£¬Õý¹¹È©£ºÒ칹ȩ=21:1£»

ת»»ÂÊ´óÓÚ98%£¬Õý¹¹È©£ºÒ칹ȩ=47:1¡£
¿¹Ñ×ÕòÍ´Ò©



ÐÂÒ»´ú¶àÔª´¼õ¥:º½¿Õ·¢ÄîÍ·ÓÍ¡¢¸ßÎÂÁ´ÌõÓÍ¡¢ºÏ³É¿ÕÆøÑ¹Ëõ»úÓÍÒÔ¼°Óë»·±£ÖÆÀä¼ÁÏàÈݵÄÀä¶³»úÓÍ»ù´¡ÓÍ¡£
